Ученые из МФТИ разработали и предложили новую систему единиц для электродинамики, способную примирить два главенствующих, но исторически несовместимых подхода. Эта компромиссная система, названная авторами физико-технической (ФТ), сохраняет практическое удобство Международной системы единиц (СИ), используемой инженерами по всему миру, и в то же время отражает теоретическую стройность и симметрию гауссовой системы (СГС), предпочитаемой физиками-теоретиками. Результаты исследования опубликованы в журнале «Современная электродинамика».
Со времен Максвелла, который объединил законы электричества и магнетизма в XIX веке, научное сообщество разделилось на два лагеря в вопросе о том, на каком «языке» лучше всего описывать эти явления. С одной стороны, инженеры и экспериментаторы во всем мире полагаются на систему СИ, в которой ключевыми единицами являются амперы, вольты и омы — величины, непосредственно измеряемые в лабораториях и лежащие в основе всей современной электротехники. С другой стороны, физики, работающие на переднем крае теоретической науки, в частности в области квантовой теории поля и теории относительности, традиционно предпочитают гауссову систему СГС (сантиметр-грамм-секунда). Причина такого предпочтения кроется в элегантности: в системе СГС фундаментальные уравнения Максвелла принимают более симметричный вид, не содержат некоторых «искусственных» констант и нагляднее отражают глубинную связь между электричеством и магнетизмом как проявлениями единого поля.
Этот раскол создает постоянные трудности в образовании и научных коммуникациях. Студентам-физикам приходится, по сути, осваивать два разных математических формализма: один для решения практических задач в лаборатории, другой — для теоретических выкладок. Переход между системами требует не простого пересчета, а изменения самой формы уравнений, что порождает путаницу и мешает формированию целостной картины мира. Именно эту проблему и взялись решить авторы новой работы.
Физики из МФТИ предложили не создавать очередную систему с нуля, а модифицировать существующую и общепринятую систему СИ таким образом, чтобы она вобрала в себя главные достоинства гауссовой системы. Их целью было создать единый формализм, который бы одинаково хорошо подходил и для описания электрических цепей, и для фундаментальных уравнений электромагнитного поля. Для этого исследователи сохранили неизменными все основные единицы СИ, включая ампер, вольт, ом, фарад и генри, которые являются стандартом в технике и измерительных приборах.
В процессе подготовки статьи авторами были обнаружено, что такая система единиц уже предлагалась ранее Геннадием Труновым, член-корреспондентом Российской Метрологической Академии, кандидатом технических наук, доцентом кафедры «Общая физика» Пермского государственного технического университета, под названием теоретическая система электромагнитных единиц.
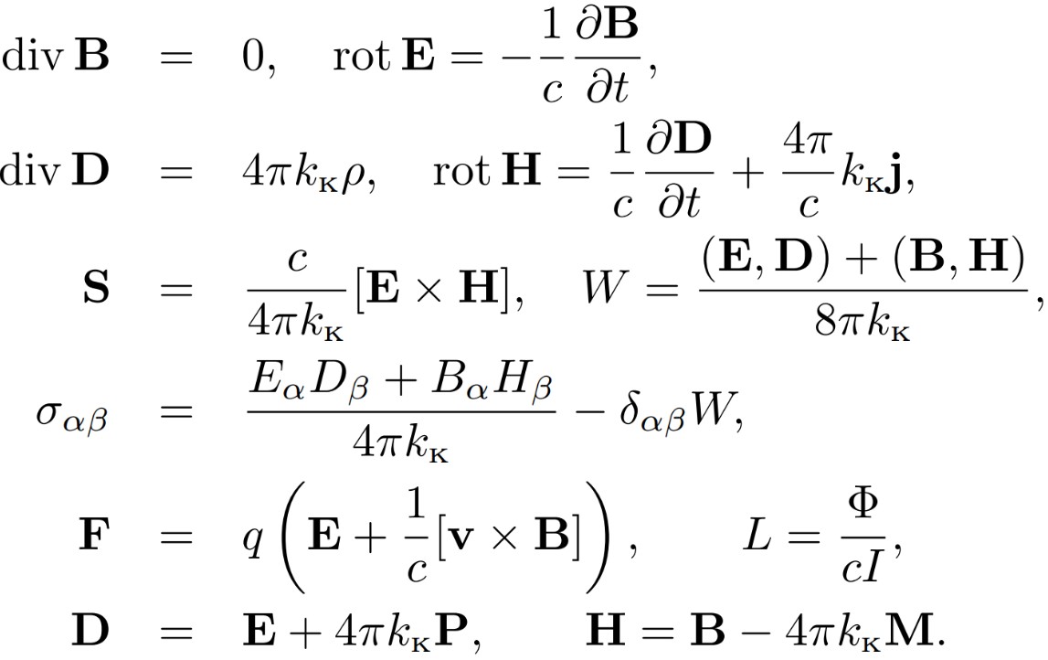
Ключевое изменение коснулось формы записи уравнений Максвелла.
Авторы переопределили физические величины, описывающие электромагнитное поле, — векторы напряженности и индукции, — так, чтобы они приобрели одинаковую размерность. В результате уравнения поля в новой, физико-технической системе, становятся практически идентичными по форме уравнениям в гауссовой системе.

Рисунок 1. Уравнения электродинамики в новой физико-технической системе единиц электродинамики. Источник: журнал “Современная электродинамика”.
Удобство предложенного подхода заключается в его консерватизме и прагматичности. Авторы статьи показали, как примирить практические единицы, исторически возникшие до полного понимания теории относительности, с симметриями пространства-времени, которые эта теория выявила. Такой подход делает переход от классической СИ к ФТ-системе простым и интуитивно понятным, не требующим отказа от привычных измерительных стандартов. Она позволяет сохранить всю мощь и удобство СИ в прикладных задачах, но при записи фундаментальных законов природы возвращает ту простоту и красоту, ради которой физики так ценили гауссову систему.
Практическая значимость этой работы в первую очередь лежит в сфере образования. Использование ФТ-системы в университетских курсах теоретической физики и электродинамики способно устранить существующую путаницу и позволить студентам с самого начала изучать предмет в рамках единой, логически последовательной концепции.
Однако мало предложить эту систему. Чтобы она была принята большим количеством людей и стала общепринятой, необходимо начать ее применять и активно внедрять.
В настоящее время уже издан учебник по курсу «Механика и теория поля», в котором последовательно используется предложенная ими система единиц, и он уже применяется на кафедре теоретической физики им. Л.Д. Ландау в МФТИ. Ранее в 2015-м году было издано при МФТИ учебно-методическое пособие “Подобие и размерность”.
Михаил Иванов, доцент кафедры теоретической физики МФТИ, прокомментировал: « Когда в 2015 году на семинаре в ИОФАН меня спросили, написал ли я учебник, используя свою систему единиц, я вынужден был ответить отрицательно. Теперь, десять лет спустя я, наконец, могу ответить на этот вопрос положительно».
В более широкой перспективе работа открывает путь к созданию единой и универсальной системы систем единиц, в которой практический мир измерений, основанный на СИ, естественным образом соединяется с теоретическими системами, используемыми в квантовой физике и космологии.
Научная статья: Иванов М.Г., Дудченко В.А. О единицах измерения в электродинамике // Современная электродинамика. 2025. Т. 3, № 2(16). С. 30-40. DOI 10.24412/2949-0553-2025-216-30-40. EDN SCZYFK.
4

